Luna qPCR Article Banner

Luna® – Experience best-in-class performance

Tous les produits de NEB font l’objet de tests rigoureux garantissant des performances optimales, et Luna ne déroge pas à la règle. Nous prenons en compte différents aspects importants dans l’évaluation de la qPCR, notamment la spécificité, la sensibilité, la précision et la reproductibilité, afin de vous proposer des solutions inégalées. Par ailleurs, nous avons réalisé une évaluation exhaustive de différents produits qPCR et RT-qPCR du marché, et développé une méthode d’analyse pour vous permettre de comparer rapidement leurs performances. Notre objectif : nous assurer que la gamme Luna répond à vos attentes, quelles que soient vos cibles.

Des tests rigoureux

  • optimisés pour offrir d’excellentes performances, tous les réactifs Luna ont été soumis à des tests de spécificité, de sensibilité, d’efficacité, de précision, de linéarité et de reproductibilité.
  • Une nouvelle méthode d’analyse nommée « dots in boxes» (diagrammes à points encadrés) a été développée, pour une représentation visuelle concise de résultats d’évaluation exhaustifs.

Des produits adaptés à TOUTES vos séquences cibles

  • Des comparaisons et des évaluations exhaustives montrent des résultats reproductibles.
  • Les réactifs Luna sont optimisés de façon à offrir d’excellentes performances pour de nombreuses matrices et cibles, quels que soient leur longueur, leur taux de GC et leur abondance.

Vidéos

[/vc_column_inner]

LUNA qPCRCette courte animation explique les bases de la qPCR.

[/vc_row_inner]

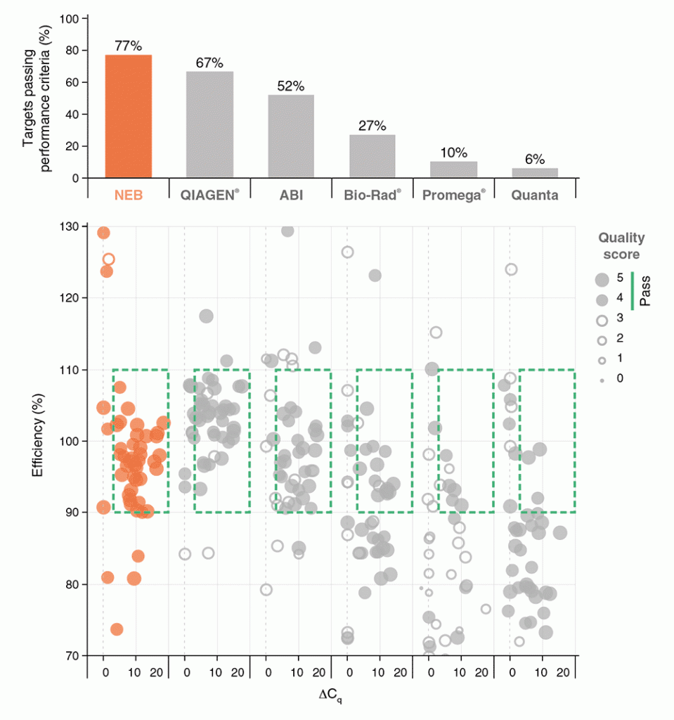
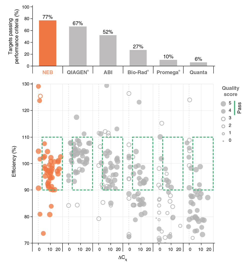
Évaluation de résultats de qPCR : représentation des performances dans des diagrammes « dots in boxes »

NEB a développé une méthode pour mieux évaluer la grande quantité de données générées lors d’une qPCR. Le résultat de cette analyse consiste en un diagramme à points, dans lequel les principales caractéristiques d’une qPCR réussie sont représentées par un seul point. Cette méthode d’analyse permet de comparer de nombreuses cibles et conditions dans un seul graphique.

Pour chaque expérience, des réactions en triplicat sont réalisées sur des concentrations de matrice couvrant cinq ordres de grandeur (courbes d’amplification, en bas à gauche). Trois contrôles sans matrice (NTC) sont également effectués, pour un total de 18 réactions par condition/cible. L’efficacité (en %) est calculée (courbe de calibration, en haut à gauche) et représentée graphiquement en fonction de ΔCq (diagramme à points, au centre), qui correspond à la différence entre le Cq moyen de la concentration la plus faible et celui du NTC. Ce paramètre reflète aussi bien la détection de la plus petite concentration que l’amplification non spécifique. Les critères de performance acceptables définis sont une efficacité de 90-110 % et un ΔCq supérieur ou égal à 3 (cadre vert).

D’autres critères de performance sont exprimés sous forme d’un score de qualité sur 5 points (en haut à droite) :

  1. 1. Linéarité de l’amplification, indiquée par le coefficient R² de la courbe de calibration
  2. 2. Reproductibilité, évaluée par la cohérence des trois valeurs de Cq pour chaque concentration initiale
  3. 3. Constance du niveau de fluorescence, reflétée par une intensité finale (RFUmax) similaire
  4. 4. Pente de la courbe
  5. 5. Forme sigmoïde de la courbe

Le score de qualité est représenté par la taille et le remplissage du point : un point solide situé à l’intérieur du cadre correspond à une expérience répondant à tous les critères de performance. Ce système d’évaluation a été élaboré à partir des lignes directrices MIQE pour la qPCR/RT-qPCR (Bustin, S.A. et al. (2009) Clin Chem. 55, 611-22 et Trombley Hall, A. et al. (2013) PLoS One 8(9):e73845). Un exemple d’analyse est illustré ci-dessous.

Conversion des données qPCR en diagrammes « dots in boxes »

Comparaison des produits Luna avec des produits concurrents

Une évaluation exhaustive des produits qPCR et RT-qPCR du marché montre que Luna offre des performances inégalées.

L’évaluation de produits qPCR du marché révèle la robustesse et la spécificité de Luna.

Liste des produits disponibles

PRODUITS REF. COND. PRIX PLUS D’INFOS
NOUVEAU LunaScript® RT Master Mix Kit (Primer-free) E3025S/L 25/100 rxns Boutique en ligne Information Produit
NOUVEAU Luna SARS-CoV-2 RT-qPCR Multiplex Assay E3019S/L 96/480 rxns Boutique en ligne Information Produit
NOUVEAU Luna Probe One-Step RT-qPCR 4x Mix with UDG M3019S/L/X/E 200/500/1000/2000 rxns Boutique en ligne Information Produit
Luna Cell Ready One-Step RT-qPCR Kit E3030S 100 rxns Boutique en ligne Information Produit
Luna Cell Ready Probe One-Step RT-qPCR Kit E3031S 100 rxns Boutique en ligne Information Produit
Luna Cell Ready Lysis Module E3032S 100 rxns Boutique en ligne Information Produit
Luna Universal qPCR Master Mix M3003S 200 rxns (2x1ml) Boutique en ligne Information Produit
M3003L 500 rxns (5x1ml) Boutique en ligne Information Produit
M3003X 1000 rxns (10x1ml) Boutique en ligne Information Produit
M3003E 2500 rxns (1x25ml) Boutique en ligne Information Produit
Luna Universal Probe qPCR Master Mix M3004S 200 rxns (2x1ml) Boutique en ligne Information Produit
M3004L 500 rxns (5x1ml) Boutique en ligne Information Produit
M3004X 1000 rxns (10x1ml) Boutique en ligne Information Produit
M3004E 2500 rxns (1x25ml) Boutique en ligne Information Produit
Luna Universal One-Step RT-qPCR Kit E3005S/L/X/E 200/500/1000/2500 rxns Boutique en ligne Information Produit
Luna Universal Probe One-Step RT-qPCR Kit E3006S/L/X/E 200/500/100/2500 rxns Boutique en ligne Information Produit
LunaScript RT SuperMix Kit E3010S/L 25/100 rxns Boutique en ligne Information Produit

Plus d’informations disponibles dans la section Ressources Techniques ou sur neb.com